Euro2-Umrüstung

Die wohl interessanteste Kategorie. Ihr habt Probleme mit Eurem Peugeot? Die Werkstatt weiss mal wieder nicht weiter? Das Handbuch gibt auch nichts mehr her? Na dann, stellt Eure Frage hier rein.
Benutzeravatar
Troubadix
Forums Opi
Beiträge: 11345
Registriert: Mi 21.03.01 00:00
Land: Deutschland
Wohnort: hessen

Re: Euro2-Umrüstung

Beitrag von Troubadix » Fr 05.11.10 10:16

Martin hat geschrieben:
Hallo,

einige hier im Forum haben lediglich die Bescheinigung beim Strassenverkehrsamt vorgelegt und wurden direkt umgeschlüsselt. Ob es überall so problemlos klappt, weiß ich nicht... :D

Die Bescheinigung kann ich Dir per mail zuschicken.

Gruß Martin

die bescheinigung vom händler hatte nicht gereicht bei mir, es musste eine neue von peugeot deutschland mit irgendeinem tüv papier/stempel sein.

troubadix
Bild

"Ever Tried? Ever failed? No matter. Try again. Fail again. Fail better"

(Samuel Beckett)

Benutzeravatar
Kris
Urgestein
Beiträge: 16171
Registriert: Mi 21.03.01 00:00
Land: Deutschland

Re: Euro2-Umrüstung

Beitrag von Kris » Fr 05.11.10 12:09

da werden so einige leute hellhörig werden.
denn der XU5M galt bisher als absolut NICHT euro-2-tauglich ...
the 3 things you can't fake in life: creativity. competence. erections.

Benutzeravatar
obelix
Administrator
Beiträge: 19553
Registriert: Mi 21.03.01 00:00
Postleitzahl: 71640
Land: Deutschland
Wohnort: Ludwigsburg
Kontaktdaten:

Re: Euro2-Umrüstung

Beitrag von obelix » Fr 05.11.10 12:10

Kris hat geschrieben:da werden so einige leute hellhörig werden.
denn der XU5M galt bisher als absolut NICHT euro-2-tauglich ...
jetzt setzt der run ein...
308SW, der aktuelle Alltagshobel: VF34H5FWC9S197117
Meine Oldtimer

Benutzeravatar
Martin
Schattenparker
Beiträge: 6945
Registriert: Mi 21.03.01 00:00
Land: Deutschland
Wohnort: Wiege der Ruhrindustrie

Re: Euro2-Umrüstung

Beitrag von Martin » Fr 05.11.10 12:56

Kris hat geschrieben:da werden so einige leute hellhörig werden.
denn der XU5M galt bisher als absolut NICHT euro-2-tauglich ...


Eigentlich ist der BDY im 405 schon ewig auf Euro2 umschlüsselbar...
405.jpg
Gruß Martin
Bild

Sires
Radarfallenwinker
Beiträge: 28
Registriert: Mi 03.11.10 02:25
Postleitzahl: 79252
Land: Deutschland

Re: Euro2-Umrüstung

Beitrag von Sires » Fr 05.11.10 16:04

Hallo Martin,

ist das eine Bescheinigung von Peugeot direkt? Ich habe heute mal auf der Zulassungsstelle angerufen, die meinten da gäbe es wohl vom Hersteller irgend ein hochoffizielles Dokument. Ganz sicher waren die sich auch nicht, aber scheinbar muss man die Umschlüsselung bei der Zulassungsstelle machen? Oder was meinst du mit Strassenverkehrsamt?

Ich will ihn am Montag zulassen, wäre super wenn ich das per Email bekommen könnte (wenn denn ein Ausdruck denen reicht, keine Ahnung ob die nicht ein Original sehen wollen, da ist jetzt niemand mehr zu erreichen).

Danke und Gruß,
Sires

Benutzeravatar
Martin
Schattenparker
Beiträge: 6945
Registriert: Mi 21.03.01 00:00
Land: Deutschland
Wohnort: Wiege der Ruhrindustrie

Re: Euro2-Umrüstung

Beitrag von Martin » Fr 05.11.10 16:23

Sires hat geschrieben: Ich will ihn am Montag zulassen, wäre super wenn ich das per Email bekommen könnte (wenn denn ein Ausdruck denen reicht, keine Ahnung ob die nicht ein Original sehen wollen, da ist jetzt niemand mehr zu erreichen).

Ja, ich meinte die Zulassungsstelle. Normalerweise muss die Bescheinigung auch noch von einem Händler unterschrieben werden, nachdem dieser sich vom ordnungsgemäßen Zustand des Fahrzeugs überzeugt hat. Aber wie ich schon sagte; Einige hier konnten durch bloße Vorlage der Bescheinigung umschlüsseln.

Schick mir Deine Adresse per pn und ich sende Dir das PDF rüber.

Gruß Martin
Bild

Sires
Radarfallenwinker
Beiträge: 28
Registriert: Mi 03.11.10 02:25
Postleitzahl: 79252
Land: Deutschland

Re: Euro2-Umrüstung

Beitrag von Sires » Mo 08.11.10 23:28

Hallo zusammen!

Ich war heute auf der Zulassungsstelle. Ich hatte dieses Dokument von Peugeot dabei (allerdings ohne den Zusatz mit Unterschrift und Stempel eines Peugeot-Händlers, der ist beim Ausdrucken wohl irgendwie "verloren gegangen".... :D ).

Das erste, was die Dame in der Zulassung gesagt hat, war "Umschlüsseln auf Euro 2? Geht nicht. Wie soll das denn gehen, der hat E2 und fertig." Nachdem ich ihr dann erklärt habe, dass der Wagen vor Einführung von Euro 2 gebaut worden war und dass das sehr wohl geht, hat sie sich den Wisch von Peugeot angeschaut und dann meinte sie "Kann ich nicht machen, ich weiss ja nicht auf was für einen Schlüssel ich den umschlüsseln soll." (steht aber laut und deutlich drauf, von 14 nach 21).

Nachdem sie sich dann mit drei Kollegen im hinteren Teil des Büros beraten hatte, kam sie wieder an ihren Platz. Der vierte Kollege, der genau neben ihr saß, wurde auch nochmal um Rat gefragt und der hat ihr dann verklickert, dass alles soweit stimmt. Nur ob das Dokument original sei, wisse er natürlich auch nicht. Daraufhin hat sie das Dokument dann nach telefonischer Anfrage an den örtlichen TÜV gefaxt und auf Rückruf gewartet, nachdem ihr der TÜV vorher nochmal versichert hatte, dass so eine Umschlüsselung schon durchaus möglich ist.

Sie hat mich dann derweil schonmal Schilder machen lassen geschickt. Als ich zurück kam, hatte der TÜV sich schon bei ihr gemeldet und ihr grünes Licht für die Umschlüsselung gegeben. Ich musste dann nochmal 10 Euro zahlen für die Änderung, und dann hatte ich mein Euro 2. Im Schein steht oben zwar immer noch E2, aber bei Punkt 14.1 steht jetzt eben 21 statt 14. Bin jetzt mal auf den Steuerbescheid gespannt... mal gucken ob die beim Finanzamt da durchblicken und auch wirklich nach Euro 2 besteuern...

Hat alles in allem eine knappe Stunde gedauert, aber wenigstens hat es funktioniert. :lachkreisch:

VIELEN DANK AN ALLE HIER!!!! :danke:

Viele Grüße,
Sires

Benutzeravatar
Martin
Schattenparker
Beiträge: 6945
Registriert: Mi 21.03.01 00:00
Land: Deutschland
Wohnort: Wiege der Ruhrindustrie

Re: Euro2-Umrüstung

Beitrag von Martin » Di 09.11.10 10:33

Sires hat geschrieben: Sie hat mich dann derweil schonmal Schilder machen lassen geschickt. Als ich zurück kam, hatte der TÜV sich schon bei ihr gemeldet und ihr grünes Licht für die Umschlüsselung gegeben. Ich musste dann nochmal 10 Euro zahlen für die Änderung, und dann hatte ich mein Euro 2. Im Schein steht oben zwar immer noch E2, aber bei Punkt 14.1 steht jetzt eben 21 statt 14. Bin jetzt mal auf den Steuerbescheid gespannt... mal gucken ob die beim Finanzamt da durchblicken und auch wirklich nach Euro 2 besteuern...

Hallo,

da hat die Dame wohl Mist gebaut. :D

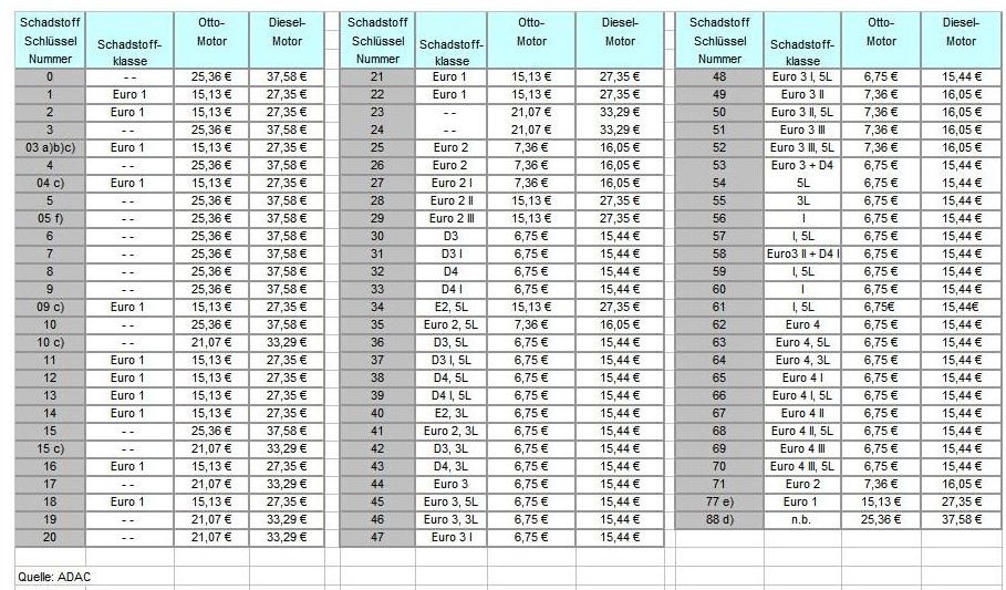
14 und 21 bezieht sich auf das jeweils noch nicht umgeschlüsselte Fahrzeug und stehen somit beide für Euro1. Euro2 müsste die Nummer 25 oder 26 erhalten. Da muss die Zulassungsstelle wohl noch mal ran...
Abgasnorm.JPG
Gruß Martin
Bild

Sires
Radarfallenwinker
Beiträge: 28
Registriert: Mi 03.11.10 02:25
Postleitzahl: 79252
Land: Deutschland

Re: Euro2-Umrüstung

Beitrag von Sires » Di 09.11.10 14:43

Ohje.... :traurig:

Ja, aber dann hätte die Dame doch Recht gehabt wenn sie sagt sie wisse nicht auf welche Schadstoffklasse sie dann umschlüsseln muss. Denn auf dem Wisch von Peugeot steht tatsächlich nur 14/21. Mehr nicht. Woher soll sie denn dann wissen ob sie auf 25 oder 26 schlüsseln muss?

Dann macht die das wieder nicht, das kann ich jetzt schon vorhersagen... da brauch ich dann wohl ein ausführlicheres Schreiben wo auch noch dabei steht auf welchen Emissionsklassenschlüssel sie den Wagen umschlüsseln muss.

Ich dreh durch... :zieh:

Gruß,
Sires

Benutzeravatar
Kris
Urgestein
Beiträge: 16171
Registriert: Mi 21.03.01 00:00
Land: Deutschland

Re: Euro2-Umrüstung

Beitrag von Kris » Di 09.11.10 15:33

na wenn auf dem wisch schlüssel 21 steht, dann bedeutet das, dass es nur schlüssel 21 gibt.
womit wir wieder bei der ausgangssituation wären, wonach der BDY von peugeot kein euro-2 bekommt.

*edit*
ein wisch wo nur steht "erfüllt euro-2" reicht auf gar keinen fall.
da muss stehen, welcher schlüssel bisher eingetragen war und welcher DANACH eingetragen werden soll.
und SO sieht eine echte umschlüsselung aus:

Bild

diese umschlüsselung behandelt zwar einen ganz anderen motor, der zudem auch nur von schadstoffarm E, schlüssel 03, otto 01 in schadstoffarm, schlüssel 01, otto/g-kat 51 umgeschlüsselt wird ... aber so in etwa sollte das aussehen.
the 3 things you can't fake in life: creativity. competence. erections.

Antworten